坡耕地红壤生物有效性磷组分的剖面变化特征

Characteristics of Profile Changes of Biologically-based Phosphorus Components in Red Soil of Sloping Farmland

  • 摘要:
      目的  分析不同利用方式红壤中生物有效性磷组分的剖面垂直变化特征与差异,以探明土壤磷素的根际过程。
      方法  以江西鹰潭孙家典型红壤小流域观测站为依托,以位于小流域坡上、坡中及坡下花生旱地与稻田红壤为研究对象,基于土壤磷素的生物有效性分级方法,分析了坡耕地红壤发生层中可溶性磷(CaCl2-P)、易被有机酸活化释放的磷(Citrate-P)、易被磷酸酶矿化的有机磷(Enzyme-P)、矿物结合态磷(HCl-P)及全磷、有效磷的含量变化;探讨了土壤全氮、有机质、铁铝氧化物等指标与各组分磷的相关关系。
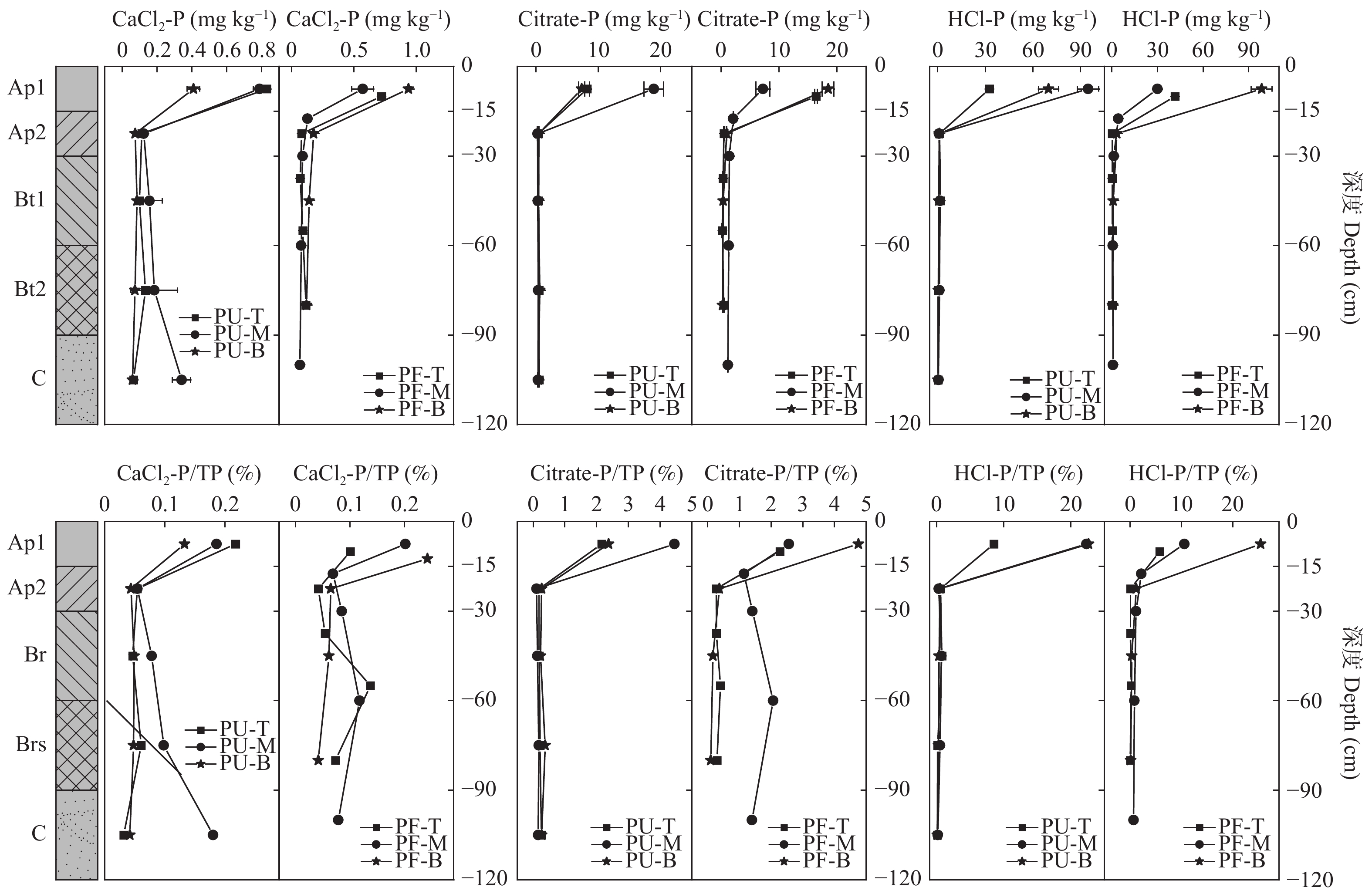
      结果  坡耕地红壤耕作层土壤全磷、有效磷均显著高于底层土壤,稻田红壤耕作层全磷和有效磷均随坡位降低而显著降低,而花生旱地的有效磷则呈相反变化、且坡中土壤全磷显著高于坡上与坡下。各生物有效磷组分含量大小依次为:HCl-P > Citrate-P > CaCl2-P > Enzyme-P,且均随剖面深度增加而降低,但受坡位影响无明显规律性。稻田红壤剖面土壤全磷平均含量高于花生旱地,但有效磷则相反;稻田红壤耕作层中仅Enzyme-P含量显著高于花生旱地。相关分析表明,坡耕地红壤HCl-P、Citrate-P及CaCl2-P均与有效磷显著正相关,与全氮、全磷、有机质极显著正相关,与游离铁氧化物含量则极显著负相关;而稻田红壤HCl-P及Citrate-P与游离铝氧化物显著负相关。
      结论  孙家流域内坡耕地红壤发生层中各组分磷含量均随剖面深度增加而降低,但受坡位影响无明显规律性。花生旱地与稻田红壤剖面有效磷分别主要来自于HCl-P、Citrate-P与CaCl2-P、Citrate-P;土壤全氮、全磷、有机质和铁铝氧化物是影响坡耕地红壤磷生物有效性的主要因子,在实际生产中可通过增施有机肥与调节游离态铁铝氧化物数量来提高坡耕地红壤磷素的生物有效性。

     

    Abstract:
      Objective  To explore the rhizosphere process of soil phosphorus (P), the profile vertical variation characteristics and differences of bioavailable P components in red soil under different utilization modes were analyzed.
      Method  Based on the biologically-based P (BBP) method, the quantitative changes of soluble P (CaCl2-P), organic acid activated P (Citrate-P), Organic P mineralized by acid phosphatase and phytase (Enzyme-P), potential inorganic P (HCl-P), total P (TP), and available P (Bray-P) of pedogenic horizons were determined in sloping farmland, which located at the observation station of the typical red soil small watershed in Sunjia, Yingtan, Jiangxi Province. The correlations among soil pH, total nitrogen (TN), soil organic matter (SOM), iron-aluminum oxides and P components were analyzed by structural equation model.
      Result  The results showed that TP and Bray-P contents were higher in tillage layer than those in the bottom layers of sloping red farmland soil, while the TP and Bray-P in the red paddy field decreased significantly with the slope, while the Bray-P in the peanut upland showed the opposite change, and the TP in the middle slope was significantly higher than those in the top and bottom slopes. And the contents of each biological effective P component were in the following order: HCl-P > Citrate-P > CaCl2-P > Enzyme-P, and all of them decreased with increasing depth of the profile, but there was no obvious regularity by slope position. The TP content in the red soil profile of paddy field was generally higher than that of peanut upland, while the Bray-P was opposite. However, only the Enzyme-P in the Ap1 layer of the paddy field was significantly higher than that of the peanut upland. Correlation analysis showed that HCl-P, Citrate-P and CaCl2-P were significantly positively correlated with Bray-P, highly significantly positively correlated with TN, TP, and SOM, and negatively correlated with Fed (P < 0.01), while HCl-P and Citrate-P in red soil of paddy field were significantly negatively correlated with Ald (P < 0.05).
      Conclusion  The P of each fraction in the red soil pedogenic horizons of sloping farmland in Sunjia watershed decreased with increasing depth of the profile, but there was no obvious regularity by slope position. The Bray-P in peanut upland and paddy field was mainly from HCl-P, Citrate-P, CaCl2-P, and Citrate-P. TN, TP, SOM, and iron-aluminum oxides were the main factors affecting the P bioavailability of red soil sloping land. In practical production, soil P bioavailability could be improved by increasing application of organic fertilizer and adjusting the morphology of iron-aluminum oxides.

     

/

返回文章
返回